current Casa > Prodotto > Ventole CC >SA3010

SA3010
Shengjiu Group

SA3010

Descrizione del prodotto

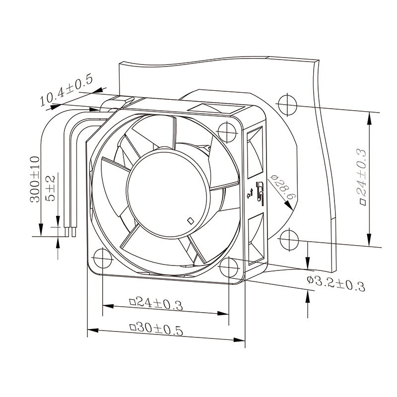
Dimensione complessiva : 30x30x10 mm

Materiale : girante e telaio in plastica (classificazione antincendio UL94V-0)

Cavi : UL 1061 AWG#28 o equivalente

Girante : 5 pale

Direzione di rotazione antioraria vista dal lato della girante

Massa : 9 g

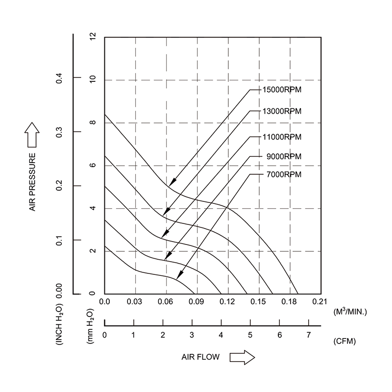
Parametri tecnici

Numero di prodotto BSR giri al minuto VDC Amplificatore Watt CFM m³/h mmH2O inH2O dB-A
SA120310-L R 7000 12 0,06 0,72

3.10

5.26 2.25 0,09 26.8
SA120310-M R 9000 12 0,07 0,84

4.01

6.81 3.47 0,14 32.0
SA120 310 -H R 11000 12 0,09 1.08

4,90

8.32 5.04 0,20 37.4
SA120 310 -U R 13000 12 0,12 1.44

5.77

9,80 6.46 0,25 41.3
SA120 310 -S R 15000 12 0,16 1.92 6.64

11.2

8.40 0,33 44.9



Informazioni sul disegno

Application solution
    Nessun dato
Consiglia informazioni
Prodotti consigliati
Consulenza sui prodotti
politica sulla riservatezza
×

politica sulla riservatezza

Aggiornamento dati in corso......









+0086-574-87845333
info@shengjiu.com
Sengjiu Road No 1, Dayin Town, Yuyao City, provincia di ZheJiang, Cina 315423